Kebenaran Kenderaan Lebih 240 Km Pdf

Jabatan Bendahari Borang Permohonan Kebenaran Menggunakan
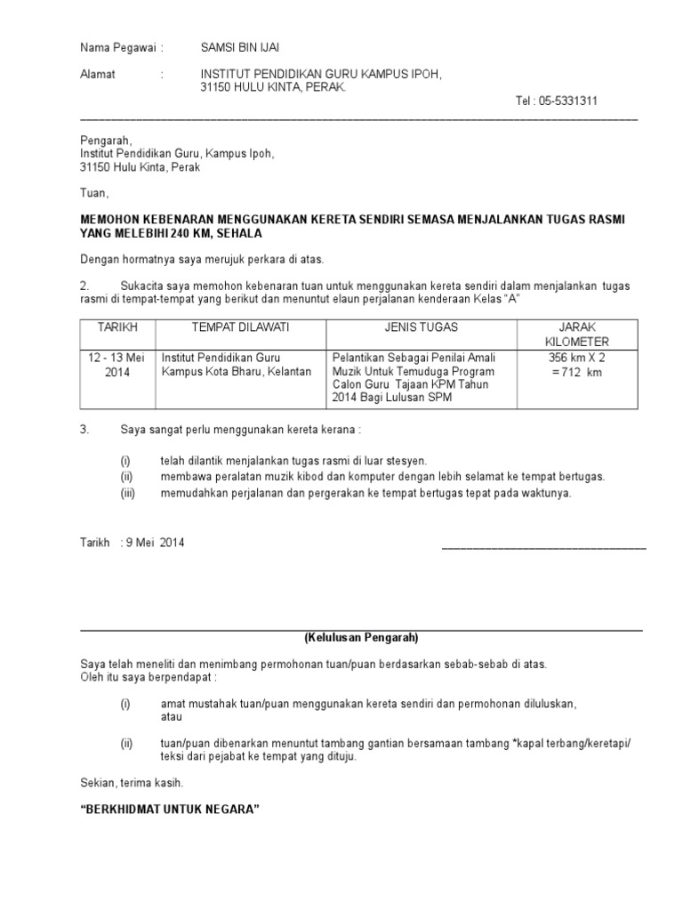
![]()
Borang Permohonan Bertugas Di Luar Pejabat
2
Surat Kebenaran Menggunakan Kenderaan Sendiri Letter 7saudara Com

Spi Kpm Bil 3 2019 Sop Penggunaan Kenderaan Sendiri Bawa Murid Untuk Urusan Rasmi
2
2
2
![]()
Permohonan Elaun Km Melebihi 240 Km Doc Borang Permohonan Untuk Menggunakan Kereta Sendiri Dan Menuntut Elaun Kilometer Bagi Jarak Melebihi 240 Course Hero
Membawa Kenderaan Sendiri Pdf
Tags:
Archive